Classification center
一:旋风分离器的临界粒径与压降
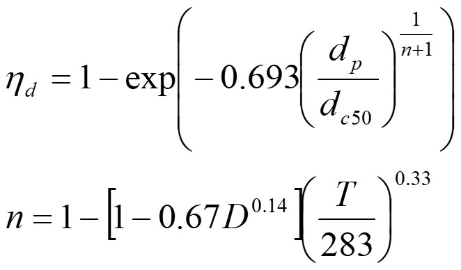
•1.半分离直径cut diameter
•分级效率为50%的粉尘粒径为半分离直径或切割直径dc50。
•临界粒径dcp愈小,除尘效率愈高。
•2.旋风分离器内的压力降pressure drop分布如下图

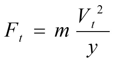
尘粒在旋风分离器中受到两个力的作用:
a.离心力
b.向心力
•离心力ft:![]()
•向心力fd:
(Rep≤1时)
•在交界面上尘粒有三种情况:
•①ft>fd 移向外壁
•②fd>ft 移向内壁
•③ft=fd 进去50%,出来50%,即除尘效率为50%。
•一般而言:dp(100%)≈2-3dp(50%)
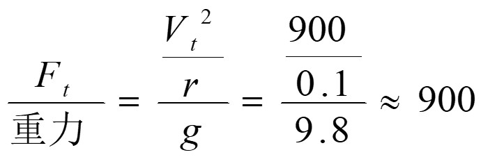
•为什麽忽略了粉尘的质量呢?因为重力等于mg,离心力![]()
•设Vt=30m/s,r=0.1m,![]()
• 离心力远远大于重力,故重力可忽略。
•半分离直径的求法:
•1.拉波尔经验表达式:适用于切线、螺旋、蜗壳式入口旋风器。

•H、B——气流入口的宽度与高度;
•L1、L2——圆筒与圆锥的高度。
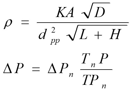
•临界粒径dcp
•根据假想圆筒理论求取
• 由 ft=fd 得:
•
•
•

ξ——阻力系数•

2)Louis—Thodore式,


二:捕集效率

的关系图查取 D——旋风分离器的直径•3.

三:影响旋风分离器效率的因素
•旋风分离器斜放对效率影响不大。

•所以,ρp小,难分离 ,影响捕集效率。
•旋风分离器一般:
①用于粒子较大(>10μm)的场合;



联系:技术支持
电话:0512-53256185
手机:152-5013-8333
传真:0512-53256185
Q Q:747488661
邮箱:15250138333@163.com
地址:江苏省苏州市太仓市浏河镇新塘新谊西路32号